Redacción. Las críticas y señalamientos hacia el presidente del Congreso Nacional, Luis Redondo, se han intensificado tras la abrupta suspensión de la sesión legislativa del pasado 27 de mayo, la cual duró apenas cinco minutos. Diversos sectores han cuestionado no solo la brevedad e improductividad de la jornada, sino también el despliegue inusual de medidas de seguridad dentro del hemiciclo.
Y es que, durante la sesión suspendida, uno de los elementos más llamativos fue la presencia desproporcionada de personal de seguridad. Se instaló una valla de guardias que separaba a la Junta Directiva, presidida por Redondo, de los curules del resto de los diputados.
Esta acción fue interpretada como una medida preventiva frente a un posible intento de insurrección por parte de las bancadas de oposición, quienes desde hace semanas han expresado su descontento con la conducción del Congreso.
La tensión escaló a raíz de una moción de orden presentada por las bancadas opositoras, con la cual se pretendía cerrar la sesión y forzar la discusión inmediata de un acta legislativa pendiente.

Lea también: Redondo evita moción de orden; suspende sesión tras cinco minutos de iniciada
Oposición
Según documentos filtrados por fuentes legislativas, al menos 74 diputados de diferentes partidos estaban dispuestos a apoyar dicha moción. De haberse concretado, el oficialismo habría quedado sin los votos necesarios para avanzar en su agenda legislativa.
Cabe destacar que la moción de orden es un mecanismo legal contemplado en el reglamento del Congreso, que permite interrumpir una sesión si se considera que se han vulnerado procedimientos legislativos.
El acta en cuestión, cuya discusión ha sido pospuesta durante varias semanas, está relacionada con la aprobación de un préstamo por 5,000 millones de lempiras otorgado por la Corporación Andina de Fomento (CAF). La oposición exige que se cierre formalmente esta acta para evitar irregularidades y continuar con el debate legislativo conforme a la normativa.
Costo de la seguridad
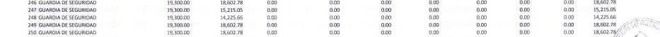
Según datos publicados en el Portal de Transparencia del Instituto de Acceso a la Información Pública (IAIP), correspondientes al mes de abril de 2025, el Congreso cuenta con un amplio dispositivo de seguridad compuesto por personal permanente y contratado:
-
Por contrato, hay 38 guardias de seguridad y dos oficiales de seguridad III adicionales.
-
De manera permanente, laboran tres guardias de seguridad, un oficial de seguridad, un oficial especial de seguridad, y un supervisor de seguridad.
En cuanto a la remuneración mensual:
-
Los 38 guardias contratados ganan 19,300 lempiras cada uno. Mientras que los oficiales de seguridad III, uno gana 19,300 lempiras y otro 20,000 lempiras.
-
Entre el personal permanente, un guardia de seguridad percibe 17,238.13 lempiras. Mientras que los otros dos guardias, así como el oficial de seguridad, reciben 19,300 lempiras.
-
Un agente de seguridad con rango equivalente al de oficial tiene un salario de 26,400 lempiras.
-
Finalmente, el jefe de seguridad tiene un sueldo mensual de 51,750 lempiras.
En total, el gasto mensual destinado al pago de salarios del personal de seguridad asciende a 925,988.13 lempiras, lo que representa un desembolso anual de aproximadamente 12,963,833.8 lempiras. Esto, considerando los 14 sueldos que contempla la legislación laboral hondureña.
Además de sus salarios, todos los agentes de seguridad reciben tres tiempos de comida diarios y pernoctan dentro del Congreso Nacional. Esto incrementa aún más los costos operativos, particularmente en concepto de viáticos y alimentación.
¿Quién paga la seguridad privada?
A este elevado gasto se suma la presencia permanente de al menos seis agentes de seguridad privada que acompañan a Luis Redondo. No obstante, no se ha esclarecido quién asume los costos de estos servicios. A ello se añade la habitual presencia de efectivos de la Policía Preventiva y Militar en el recinto legislativo.
Los señalamientos hacia Luis Redondo no solo apuntan al excesivo gasto en seguridad, sino también a la baja productividad legislativa que se ha vuelto recurrente en las sesiones del Congreso.
La acumulación de sesiones suspendidas, la creciente tensión y el presunto uso desproporcionado de recursos para seguridad reflejan un Congreso marcado por la parálisis, el conflicto y la opacidad. Bajo la presidencia de Luis Redondo, el Poder Legislativo ha sido blanco constante de críticas por su baja productividad. Además, se le critica la falta de acuerdos políticos y la ausencia de avances significativos en la agenda legislativa.

Diversos sectores han señalado que esta situación no solo debilita el funcionamiento institucional del Congreso, sino que también profundiza la crisis de representatividad y aleja al Legislativo de su verdadero rol: debatir, legislar y responder a las necesidades del país.


